AleKlasa
  • SZKOŁA
    • LEKCJE Z EPOK LITERACKICH
      • Antyk (lekcje)
      • „Biblia” (lekcje)
      • Średniowiecze (lekcje)
      • Renesans (lekcje)
      • Barok (lekcje)
      • Oświecenie (lekcje)
      • Romantyzm (lekcje)
      • Pozytywizm (lekcje)
      • Modernizm (lekcje)
      • Dwudziestolecie międzywojenne (lekcje)
      • Współczesność (lekcje)
    • LEKTURY do egzaminu
    • LEKTURY na egzaminie
    • POWTÓRKA Z POLSKIEGO
      • Antyk (Powtórka)
      • „Biblia” (Powtórka)
      • Średniowiecze (Powtórka)
      • Renesans (Powtórka)
      • Barok (Powtórka)
      • Oświecenie (Powtórka)
      • Romantyzm (Powtórka)
      • Pozytywizm (Powtórka)
      • Młoda Polska (Powtórka)
      • Dwudziestolecie międzywojenne (Powtórka)
      • Współczesność (Powtórka)
    • WIERSZE w szkole
    • WIERSZ I PROZA na ergzaminie
      • Wiersz na egzaminie
      • Wiersz na egzaminie TEST
      • Proza na egzaminie
      • ŚRODKI stylistyczne
      • Wiersz i proza na egzaminie
    • NAUKA O JĘZYKU
      • Informacje wstępne (Gramatyka)
      • Fleksja (Gramatyka)
      • Składnia (Gramatyka)
      • Słowotwórstwo (Gramatyka)
      • Fonetyka (Gramatyka)
      • Frazeologia (Gramatyka)
      • Ortografia
      • Nauka o języku – pytania i odpowiedzi
      • TESTY z nauki o języku
      • Gramatyka
    • TESTY przedegzaminacyjne
    • HISTORIA TESTY
    • hISTORIA POJĘCIOWNIK
    • WOS TESTY
    • WOS w pytaniach i odpowiedziach
    • Matematyka
    • FIZYKA
    • GALERIA
    • Sztuka na egzaminie
    • Spotkania z filozofią
  • LICEUM
    • EPOKI LITERACKIE
      • Antyk
      • Średniowiecze
      • Renesans
      • Barok
      • Oświecenie
      • Romantyzm
      • Pozytywizm
      • Modernizm (Młoda Polska)
      • Dwudziestolecie międzywojenne
      • Współczesność
      • Wiek XX – zestawienie
    • LEKTURY
      • JAK ODPOWIADAĆ Z POLSKIEGO
    • WIERSZE w liceum
      • Analiza wierszy
      • Spotkanie z poezją
    • Biografie
    • MOTYWY LITERACKIE
    • MOTYWY Jak pisać o…
    • BOHATER LITERACKI
    • Bohater literacki – TYP
    • GATUNKI literackie
    • TESTY Z POLSKIEGO
    • TABELE POLONISTYCZNE
    • FIZYKA w liceum
    • Lektury w liceum
  • SZTUKA PISANIA
    • Sztuka pisania TEORIA
    • Formy prac pisemnych
    • Jak napisać wypracowanie
    • Jak napisać to lepiej?
    • Cytaty do prac pisemnych
    • Zdania klucze
    • Cwiczenia w pisaniu
    • PRACE PISEMNE
      • PRACE PISEMNE w szkole
      • PRACA DOMOWA
      • WYPRACOWANIA i PRACE DOMOWE Z LEKTUR
      • PRACA KLASOWA
  • MATURA
    • A jeśli temat będzie z…
    • Matura pisemna
    • Matura pisemna. Przegląd tematów w skrócie.
    • Matura ustna
    • Matura ustna – 100 podstawowych pytań
    • Pewniak maturalny – wiek XIX
    • Arcydzieła do matury
    • Trudne pojecia (matura)
    • Lektury Klucze maturalne
    • SZKOŁA PISANIA – POZIOM PODSTAWOWY
    • SZKOŁA PISANIA – POZIOM ROZSZERZONY
    • TESTUJ SIĘ – zestaw ćwiczeń do testu maturalnego
    • WYPRACOWANIE – POZIOM ROZSZERZONY
    • Matura
    • Akademia maturalna
    • BOHATER LITERACKI
    • MOTYWY LITERACKIE
    • Mickiewicz Adam
  • ANGIELSKI
    • English every day
    • Gramatyka (Angielski)
    • Gramatyka CZASY
    • GRAMMAR in practice
      • FIZYKA w liceum
    • Formy wypowiedzi (Angielski)
    • Zagadnienia (Angielski)
    • ANGIELSKI – Słownictwo do matury
    • Słownictwo do matury
      • Człowiek
      • Dom
      • Kultura i rozrywka
      • Nauka i technika
      • Państwo i społeczeństwo
      • Podróżowanie i turystyka
      • Praca
      • Sport
      • Świat przyrody
      • Szkoła
      • Wiedza o Wielkiej Brytanii
      • Zakupy i usługi
      • Zdrowie
      • Życie rodzinne i towarzyskie
      • Żywienie
    • MATURA PISEMNA
      • POZIOM PODSTAWOWY (pisemna)
      • POZIOM ROZSZERZONY (pisemna)
      • READY FOR READING
      • Time for practice
    • MATURA USTNA
      • POZIOM PODSTAWOWY (ustna)
      • Opis ilustracji
      • Rozmowy sterowane
      • POZIOM ROZSZERZONY (ustna)
    • ANGIELSKI – Słownictwo do matury
    • Angielski
  • HISTORIA
    • Starożytność (Historia)
    • Średniowiecze (Historia)
    • Czasy nowożytne (Historia)
    • XIX wiek (Historia)
    • XX wiek (Historia)
    • Świat po II wojnie światowej (Historia)
    • Poczet królów
    • Dzieje ustroju
    • Historia TESTY
  • STUDIA
    • Kierunki studiów
    • Sposób na studia
  • PRACA
    • Branża
    • Zawody
  • ARCHIWUM
  • STRONA GŁÓWNA

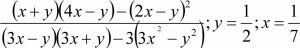
Ćwiczenie 1

310 Views 28 grudnia, 2017 Zbyszek

PODYSKUTUJ:

EPOKI LITERACKIE

  • A Antyk
  • Wypracowania z antyku i Biblii
  • Ś Średniowiecze
  • Wypracowania ze średniowiecza
  • R Renesans
  • Wypracowania z renesansu
  • B Barok
  • Wypracowania z baroku
  • O Oświecenie
  • Wypracowania z oświecenia
  • Rom Romantyzm
  • Wypracowania z romantyzmu
  • P Pozytywizm
  • Wypracowania z pozytywizmu
  • M Modernizm
  • Wypracowania z modernizmu
  • DM Dwudziestolecie międzywojenne
  • W Współczesność
  • Wypracowania z literatury XX wieku

Lektury i ich autorzy

  • Homer
  • Sofokles
  • Rej Mikołaj
  • Kochanowski Jan
  • Szekspir William
  • Sęp-Szarzyński Mikołaj
  • Morsztyn Jan Andrzej
  • Naborowski Daniel
  • Potocki Wacław
  • Krasicki Ignacy
  • Mickiewicz Adam
  • Słowacki Juliusz
  • Krasiński Zygmunt
  • Fredro Aleksander
  • Norwid Cyprian Kamil
  • Sienkiewicz Henryk
  • Prus Bolesław
  • Orzeszkowa Eliza (Nad Niemnem)
  • Poeci Młodej Polski
  • Żeromski Stefan
  • Wyspiański Stanisław
  • Reymont Władysław
  • Conrad Joseph
  • Dąbrowska Maria
  • Witkiewicz Stanisław Ignacy
  • Gombrowicz Witold
  • Schulz Bruno
  • Camus Albert
  • Kafka Franz
  • Szczypiorski Andrzej
  • Herling-Grudziński Gustaw
  • Konwicki Tadeusz (Mała apokalipsa)
  • Szymborska Wisława
  • Herbert Zbigniew
  • Miłosz Czesław
  • Mrożek Sławomir
  • Różewicz Tadeusz

WYPRACOWANIA Z LEKTUR

  • ANTYGONA – wypracowania
  • BIBLIA – wypracowania
  • BOSKA KOMEDIA – wypracowania
  • CHŁOPI – wypracowania
  • CIERPIENI MŁODEGO WERTERA – wypracowania
  • DON KICHOT – wypracowania
  • DZIADY – wypracowanie
  • FAUST – wypracowania
  • GIAUR – wypracowania
  • GOMBROWICZ – wypracowania
  • HERBERT – wypracowania
  • HOMER, Iliada, Odyseja – wypracowania
  • KAFKA – wypracowania
  • KOCHANOWSKI – wypracowania
  • KONRAD WALLENROD – wypracowania
  • KRASICKI – wypracowania
  • KRÓL EDYP – wypracowania
  • LALKA – wypracowania
  • LUDZIE BEZDOMNI – wypracowania
  • MIŁOSZ – wypracowania
  • MITOLOGIA -wypracowania
  • MOLIER – wypracowania
  • NAD NIEMNEM – wypracowania
  • NAŁKOWSKA – wypracowania
  • NIE-BOSKA KOMEDIA – wypracowanie
  • NORWID – wypracowania
  • NOWELE POZYTYWISTYCZNE – wypracowania
  • ODPRAWA POSŁÓW GRECKICH – wypracowania
  • PAMIĘTNIKI PASKA – wypracowania
  • PAN TADEUSZ – wypracowanie
  • PIEŚŃ O ROLANDZIE – wypracowanie
  • POEZJA MŁODOPOLSKA – wypracowania
  • PRZEDWIOŚNIE – wypracowania
  • POWIEŚCI Sienkiewicza – wypracowania
  • RÓŻEWICZ – wypracowania
  • SŁOWACKI – wypracowania
  • SZEKSPIR – wypracowania
  • SZYMBORSKA – wypracowania
  • WESELE – wypracowania
  • WIELKI TESTAMENT – wypracowania
  • WITKACY – wypracowania
  • WYPRACOWANIA PRZEKROJOWE
  • ZBRODNIA I KARA – wypracowania
  • ŻEROMSKI – wypracowania

Wydawnictwo MŁODA POLSKA

 

 

Portal aleklasa.pl

Kontakt

redakcja:   redakcja@aleklasa.pl

reklama:   biuro.reklamy@aleklasa.pl

© AleKlasa.pl